September 24th, 2025, Beijing – Kinefinity is pleased to introduce KineLOG3, a new color curve designed to offer greater flexibility in post-production. KineLOG3 provides an expanded dynamic range, capturing more detail in highlights and shadows, while seamlessly integrating into post-production workflows.
KineLOG3 is a logc curve featuring negative film scanning characteristics, designed to encode the camera’s native color space and luminance data, thereby preserving greater dynamic range in footage. In post-production software, this curve enables conversion to SDR, HDR, or other LOG curves.
This article introduces the technical characteristics of KineLOG3. By utilizing the KineLOG curve and color gamut outlined in this document, color restoration and conversion to other color spaces can be achieved in post-production.
1. KineLOG3 Curve


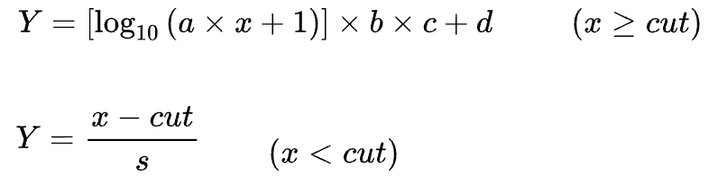
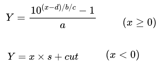
2. KineLOG3 Formula


3. Apendix




